烧杯中装有一定量硫酸和硫酸铜的混合溶液,已知该溶液中含H 2 SO 4 的质量为9.8g。某同学为测定该混合溶液中硫酸铜的质量,向烧杯中逐渐加入10%的NaOH溶液,得到沉淀的质量记录如下: (1)得到沉淀的总质量为 g,该混合溶液中硫酸铜的质量为 g。 (2)参加反应的NaOH溶液的总质量是多少克?(要求写出计算过程) (3)画出在该混合溶液中加入NaOH溶液质量与生成沉淀质量变化关系的曲线。
的有关信息介绍如下:(1)9.8 16.0 (2)160
(3)

试题分析:(1)据上表记录的数据可知,刚开始加入NaOH溶液,并没有生成沉淀,原因是原烧杯中装有一定量硫酸和硫酸铜的混合溶液,加入的NaOH溶液是先和硫酸反应:H2SO4 + 2NaOH=Na2SO4 + 2H2O,然后随着NaOH溶液的不断加入,过量的NaOH溶液与硫酸铜反应生成沉淀:2NaOH + CuSO4=Cu(OH)2↓ + Na2SO4
,所以随着NaOH溶液的继续加入,生成的沉淀质量也就越来越大,最终保持9.8g不变,表示反应结束,硫酸铜被消耗完,根据硫酸铜和沉淀Cu(OH)2的质量关系,即可算出硫酸铜的质量
(2)同样,化学反应:2NaOH + CuSO4=Cu(OH)2↓ + Na2SO4中,根据NaOH与沉淀Cu(OH)2的质量关系,也可算出参加反应的NaOH溶质的质量,题目已知NaOH溶液的溶质质量分数,这样就可以求出参加反应的NaOH溶液的总质量
(3)画图象,一定要注意两个点:起始点(表示某反应的开始)、转折点(表示某反应的结束),正如刚才分析的,刚开始加入NaOH溶液,并没有生成沉淀,原因是原烧杯中装有一定量硫酸和硫酸铜的混合溶液,加入的NaOH溶液是先和硫酸反应:H2SO4 + 2NaOH=Na2SO4 + 2H2O,而原溶液中含H2SO4的质量为9.8g,根据化学方程式中NaOH和H2SO4的质量关系,即可算出要把9.8g H2SO4完全反应掉需要的NaOH质量,这也就是图象中的起始点,而反应结束时消耗的NaOH质量,在第(2)问已经求出,即图象中的转折点,这时溶液中硫酸铜也被全部消耗,所以沉淀质量也就不再发生变化
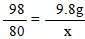
(2)解:设与硫酸反应的NaOH的质量为x ,与CuSO4反应的NaOH的质量为y。
H2SO4+ 2NaOH=Na2SO4 + 2H2O CuSO4 + 2NaOH =Cu(OH)2↓+ Na2SO4
98 80 80 98
9.8g x y 9.8g


x = 8g y =8g
故参加反应的NaOH溶液的质量共为答:整个过程中参加反应的NaOH溶液的总质量是160克。

故参加反应的NaOH溶液的质量共为答:整个过程中参加反应的NaOH溶液的总质量是160克。



