小学六年级五星题 数学 求阴影部分面积
的有关信息介绍如下:1.解题思路:如下图所示,可以把阴影部分分为三个部分,再分别计算面积:

由图可知:区域1的面积=2倍区域2的面积;区域2的面积=小正方形减去四分之一圆的面积;区域3的面积=直角三角形的面积减去等腰三角形的面积再减去扇形的面积。
2.解析过程:
第一步,先算s1和s2的面积之和:


第二步,由圆周角与圆心角的性质有b = 2a,同时已知:

,
可得


,
即得

,
第三步,区域3左端点到中心水平线的距离为4
所以,区域3的面积为:

第四步,综上所述,阴影部分的面积为:

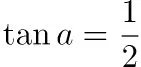
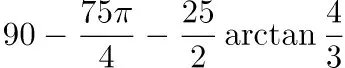
我算出来是90-25π+25/2 ×arcsin(3/5),大概是19.5
建个系,知道斜线和圆左下角那个交点是(2,1),连接圆心和交点,左下角缺失的(斜线下面的部分)就可以算了,交点(2,1)到原点的三角形+过圆心的梯形-扇形(圆心角是arc(0.6))。那块就是10-25/2×arcsin(3/5)。
整个阴影就是100-25π-【10-25/2×arcsin(3/5)】

楼上太复杂了,即使是小学奥数班也没学到吧。
我有正解:用剪刀分别剪出阴影与空白部分,分别用托盘天平称量或更精密到万分之一的电子天平,假设空白部分重量是X,阴影部分是Y,则阴影面积=20*10*Y/(X+Y)=
20*10*0.1379/(0.1379+1.2921) =19.29,与楼下相差很少了

S阴影=SABC-SO-SADG
=1/2*10*20-5²π-SADG=100-25π-SADG
SADG=SAEH-SDEH-SEDG
SAEH=1/2*5*10=25
SDEH=(10*10-5²π)/4=25-25π/4
SEDG=SOEDG-SOEG
SOEDG=(nπ5²)/360
三角形OEI与三角形ABC为相似三角形
所以AB/OE=BC/EI=AC/OI
所以OI=根号5 EI=根号20
三角形OEG面积为1/2EG*OI=10
S阴影=SABC-SO-SADG
=1/2*10*20-5²π-SADG
=100-25π-SADG
=100-25π-(SAEH-SDEH-SEDG)
=100-25π-(25-(25-25π/4)-(SOEDG-SOEG))
=100-25π-(25π/4-(0.35*25π-10))
=100-25π-(6.25π-8.75π+10)
=90-22.5π
=19.31

这个小学生可能不能算,因为涉及到三角函数,有人用CAD画图得出结论是19.5左右,手算的话因为根据正弦值估算角度有误差+pai预估为3.14,整体算出来会有误差,手算结果是19.7左右



