带积分号怎么求导啊?
的有关信息介绍如下:求导是数学计算中的一个计算方法,它的定义就是,当自变量的增量趋于零时,因变量的增量与自变量的增量之商的极限。在一个函数存在导数时,称这个函数可导或者可微分。可导的函数一定连续。不连续的函数一定不可导。求导方法如下:
向左转|向右转

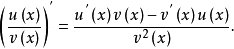
求导四则运算法则与性质:
若函数u(x),v(x)都可导,则
向左转|向右转

向左转|向右转

向左转|向右转

扩展资料:
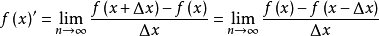
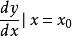
设函数y=f(x)在点x0的某个邻域内有定义,当自变量x在x0处有增量Δx,(x0+Δx)也在该邻域内时,相应地函数取得增量Δy=f(x0+Δx)-f(x0);
如果Δy与Δx之比当Δx→0时极限存在,则称函数y=f(x)在点x0处可导,并称这个极限为函数y=f(x)在点x0处的导数记作①
;②
;③
, 即
需要指出的是:
两者在数学上是等价的。
函数y=f(x)在x0点的导数f'(x0)的几何意义:表示函数曲线在点P0(x0,f(x0))处的切线的斜率(导数的几何意义是该函数曲线在这一点上的切线斜率)。
参考资料:百度百科-导数



