0和1是什么意思
的有关信息介绍如下:1和0是计算机储存二进制的基本单位,包括现在你在电脑上看到的所有一切都是由1和0两个数组成的,一个即是一个位,8位(bit)一个字节,我们在电脑中看到的图像视频等都是计算机通过对储存器中无数个1和0的计算得来的。
1B(Byte字节)=8bit,
1KB (Kilobyte 千字节)=1024B,
1MB (Mega byte 兆字节 简称“兆”)=1024KB,
1GB (Giga byte 吉字节 又称“千兆”)=1024MB,
1TB (Tera byte 万亿字节 太字节)=1024GB,其中1024=2^10 ( 2 的10次方),
1PB(Peta byte 千万亿字节 拍字节)=1024TB,
1EB(Exa byte 百亿亿字节 艾字节)=1024PB,
1ZB (Zetta byte 十万亿亿字节 泽字节)= 1024 EB,
1YB (Yotta byte 一亿亿亿字节 尧字节)= 1024 ZB,
1BB (Bronto byte 一千亿亿亿字节)= 1024 YB,
1NB(Nona byte )= 1024BB,
1DB(Dogga byte)= 1024NB。

扩展资料:
二进制数据的表示法
二进制数据也是采用位置计数法,其位权是以2为底的幂。例如二进制数据110.11,逢2进1,其权的大小顺序为2²、2¹、2º、
、
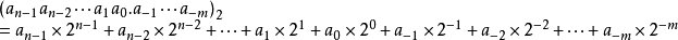
。对于有n位整数,m位小数的二进制数据用加权系数展开式表示,可写为:

二进制数据一般可写为:

【例1102】将二进制数据111.01写成加权系数的形式。
解:

二进制和十六进制,八进制一样,都以二的幂来进位的。
计算机中的十进制小数转换二进制
计算机中的十进制小数用二进制通常是用乘二取整法来获得的。
比如0.65换算成二进制就是:
0.65 × 2 = 1.3 取1,留下0.3继续乘二取整
0.3 × 2 = 0.6 取0, 留下0.6继续乘二取整
0.6 × 2 = 1.2 取1,留下0.2继续乘二取整
0.2 × 2 = 0.4 取0, 留下0.4继续乘二取整
0.4 × 2 = 0.8 取0, 留下0.8继续乘二取整
0.8 × 2 = 1.6 取1, 留下0.6继续乘二取整
0.6 × 2 = 1.2 取1,留下0.2继续乘二取整
.......
一直循环,直到达到精度限制才停止(所以,计算机保存的小数一般会有误差,所以在编程中,要想比较两个小数是否相等,只能比较某个精度范围内是否相等。)。这时,十进制的0.65,用二进制就可以表示为:0.1010011。
还值得一提的是,在计算机中,除了十进制是有符号的外,其他如二进制、八进制、16进制都是无符号的。
在现实生活和记数器中,如果表示数的“器件”只有两种状态,如电灯的“亮”与“灭”,开关的“开”与“关”。一种状态表示数码0,另一种状态表示数码1,1加1应该等于2,因为没有数码2,只能向上一个数位进一,就是采用“满二进一”的原则,这和十进制是采用“满十进一”原则完全相同。
1+1=10,10+1=11,11+1=100,100+1=101,
101+1=110,110+1=111,111+1=1000,……,
可见二进制的10表示二,100表示四,1000表示八,10000表示十六,……。
二进制同样是“位值制”。同一个数码1,在不同数位上表示的数值是不同的。如11111,从右往左数,第一位的1就是一,第二位的1表示二,第三位的1表示四,第四位的1表示八,第五位的1表示十六。
所谓二进制,也就是计算机运算时用的一种算法。二进制只由一和零组成。
比方说吧,你上一年级时一定听说过“进位筒”(“数位筒”)吧!十进制是个位上满十根小棒就捆成一捆,放进十位筒,十位筒满十捆就捆成一大捆,放进百位筒……
二进制也是一样的道理,个位筒上满2根就向十位进一,十位上满两根就向百位进一,百位上满两根…… 二进制是世界上第一台计算机上用的算法,最古老的计算机里有一个个灯泡,当运算的时候,比如要表达“一”,第一个灯泡会亮起来。要表达“二”,则第一个灯泡熄灭,第二个灯泡就会亮起来。
二进制就是等于2时就要进位。
0=00000000
1=00000001
2=00000010
3=00000011
4=00000100
5=00000101
6=00000110
7=00000111
8=00001000
9=00001001
10=00001010
……
即是逢二进一,二进制广泛用于最基础的运算方式,计算机的运行计算基础就是基于二进制来运行。只是用二进制执行运算,用其他进制表现出来。
其实把二进制三位一组分开就是八进制, 四位一组就是十六进制
参考资料:
1(计算机储存的基本单位)_百度百科
二进制_百度百科



