tanx的平方 积分是啥啊?
的有关信息介绍如下:
一个函数,可以存在不定积分,而不存在定积分,也可以存在定积分,而不存在不定积分。一个连续函数,一定存在定积分和不定积分;若只有有限个间断点,则定积分存在;若有跳跃间断点,则原函数一定不存在,即不定积分一定不存在。
积分分类
1、不定积分
即已知导数求原函数。若F′(x)=f(x),那么[F(x)+C]′=f(x).(C∈R C为常数).也就是说,把f(x)积分,不一定能得到F(x),因为F(x)+C的导数也是f(x)(C是任意常数)。
所以f(x)积分的结果有无数个,是不确定的。
我们一律用F(x)+C代替,这就称为不定积分。即如果一个导数有原函数,那么它就有无限多个原函数。
2、定积分
定积分就是求函数f(X)在区间[a,b]中的图像包围的面积。即由 y=0,x=a,x=b,y=f(X)所围成图形的面积。这个图形称为曲边梯形,特例是曲边三角形。

扩展资料:
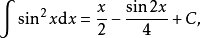
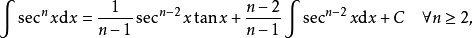
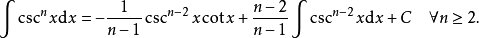
含有三角函数的积分 :


















参考资料:积分表-百度百科



